[ 알고리즘 ] 빅-오 표기법이란?
빅오 표기법은 대문자 O를 사용하기 때문에 빅(Big) 오(O)라고 부릅니다.
앞 글에서 이진 탐색 알고리즘의 시간 복잡도 함수를 구하면서
최악의 경우의 비교연산 횟수는 k+1에서 +1이 중요하지 않다고 했습니다.
왜 그렇게 말할 수 있는지 빅-오 표기법을 통해 설명하겠습니다.
(이해를 위해 이전 글을 읽어오시면 좋습니다.)
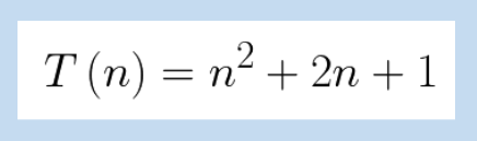
먼저 빅-오에 대한 설명을 위해 하나의 예로 시간 복잡도 함수를 봅시다.
시간 복잡도 함수를 T(n)를 구하는 이유는 데이터의 수 n이 증가에 따라 연산횟수의 변화 정도를 판단하기 위해서입니다. (중요)
오차 없이 시간 복잡도를 함수를 구할 수 없고, 구할 필요도 없다는 겁니다. 즉, 근사치(approximtation) 식으로 구성해도 됩니다.

그럼 위의 함수에서 1정도는 빼도 되겠고,

2n는 생략해도 될까요?

네 가능합니다. 이유는 이 함수에서 2n이 차지하는 비율이 미미하기 때문입니다. 아래 표를 통해서 확인해보겠습니다.

티스토리 블로그에서는 수식 입력을 지원하지 않아 위의 수는 n^{2}로 표기하겠습니다.
| n | n^{2} | 2n | T(n) | n^{2} 비율 | 2n의 비율 |
| 10 | 100 | 20 | 120 | 83.33% | 16.67% |
| 100 | 10,000 | 200 | 10,200 | 98.04% | 1.96% |
| 1,000 | 1,000,000 | 2,000 | 1,002,000 | 99.80% | 0.2% |
| 10,000 | 100,000,000 | 20,000 | 100,020,000 | 99.98% | 0.02% |
| 100,000 | 10,000,000,000 | 200,000 | 10,000,200,000 | 99.99% | 0.01% |
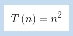
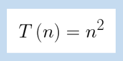
표에서 바로 알 수 있듯이 n(데이터)가 증가하면서 2n+1이 미치는 영향은 적습니다.
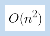
따라서아래와 같이 간략화할 수 있습니다.

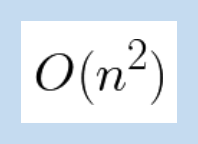
이를 빅오표기법으로 표현하면 다음과 같습니다.
"빅오 오브(of) n의 2제곱"으로 읽으면 됩니다.

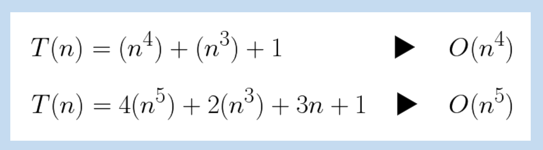
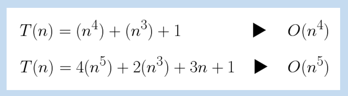
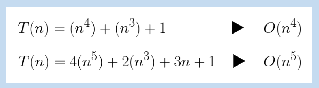
그럼 이제 수식을 보고 빅-오를 구할 수 있겠죠? T(n)이 다항식으로 표현된 경우, 최고차항의 차수가 빅-오가 됩니다.

------------------------------
------------------------------
'컴퓨터 공학 > Algorithm' 카테고리의 다른 글
| [ 알고리즘 ] 재귀함수의 디자인 사례_팩토리얼 구현(C언어) (395) | 2020.07.08 |
|---|---|
| [ 알고리즘 ] 재귀 함수의 기본 원리 이해하기 (392) | 2020.07.08 |
| [ 알고리즘 ] 이진 탐색이란? 시간의 복잡도 계산하기 (2245) | 2020.07.05 |
| [ 알고리즘 ] 순차 탐색(Linear Search) 이란? 시간 복잡도 계산하기 (380) | 2020.07.04 |
| 좋은 알고리즘을 평가하는 요소(시간복잡도, 공간복잡도) (416) | 2020.07.03 |
댓글