반응형
0이 아닌 두 벡터가 주어졌을 때, 두 벡터 사이의 코사인 값을 다음과 같이 구할 수 있다.

예제
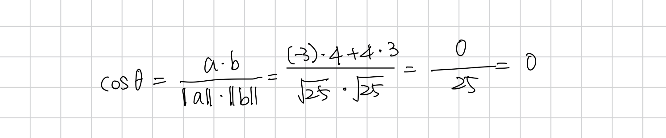
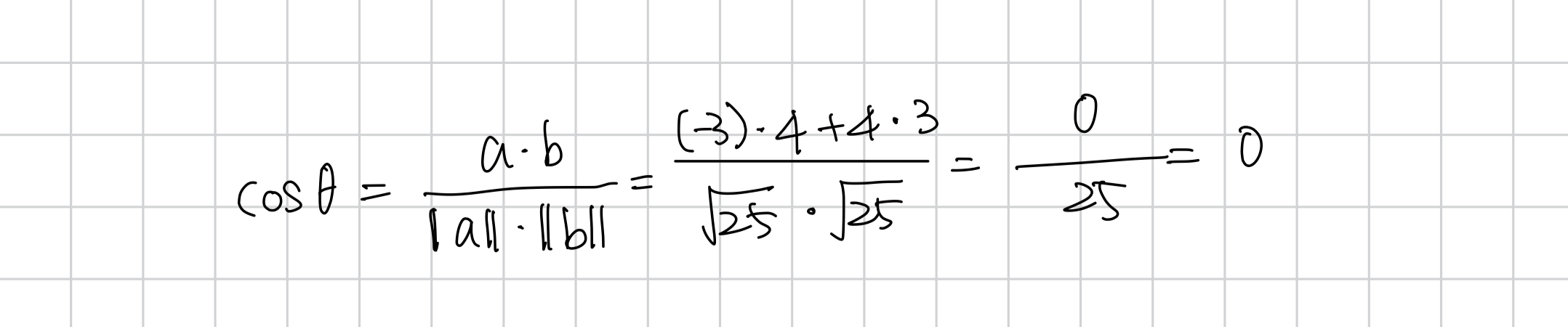
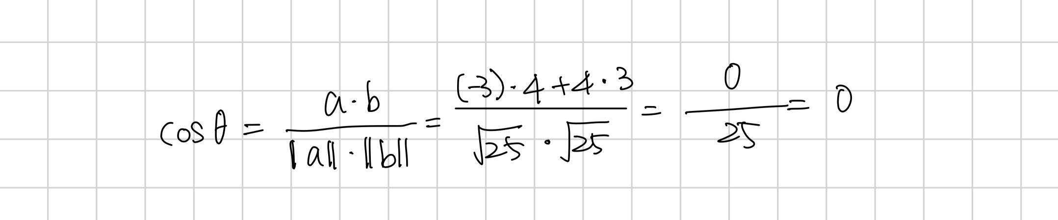
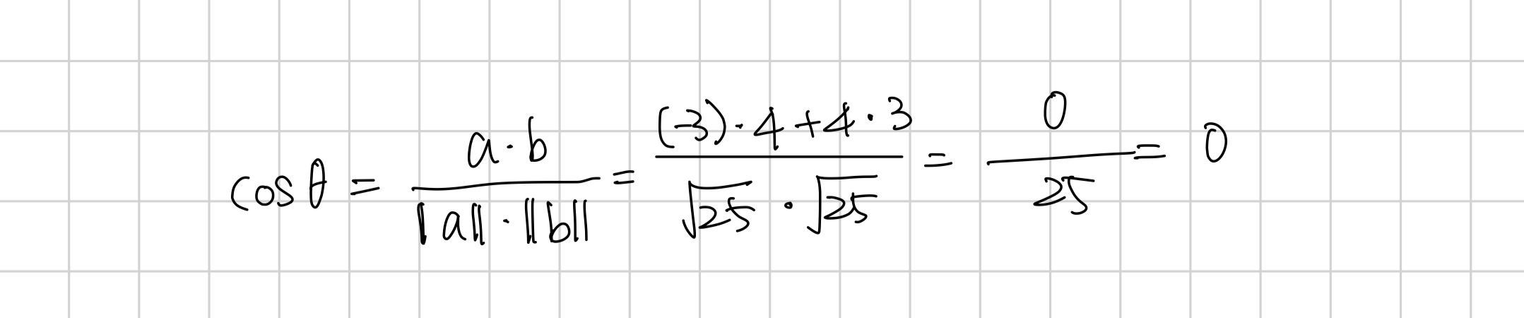
다음에 주어진 두 벡터 사이의 코사인 값을 구하라.
a = (-3, 4), b = (4, 3)

반응형
'컴퓨터 공학 > Software Math' 카테고리의 다른 글
| [선형대수학] 백터의 크기, 노름(norm) 구하는 법 (0) | 2023.10.24 |
|---|---|
| [선형대수학] 수반행렬(adjoint matrix)란? (0) | 2023.10.20 |
| [선형대수학] 대칭행렬 (symmetric matrix) / 반대칭행렬 (skew-symmetric matrix)이란? (571) | 2023.10.20 |
| [선형대수학] 전치행렬 (transpose matrix)이란? (0) | 2023.10.20 |
| [선형대수학] 영행렬 (zero matrix)이란? (0) | 2023.10.20 |
댓글