반응형
이산수학 행렬의 연산(덧셈, 뺄셈, 스칼라(실수) 곱, 곱셈) 예제포함
행렬에서 직접적으로 가능한 연산은 덧셈, 뺄셈, 스칼라(실수) 곱, 곱셈입니다.
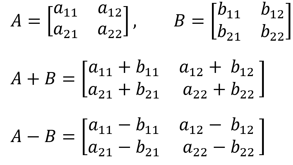
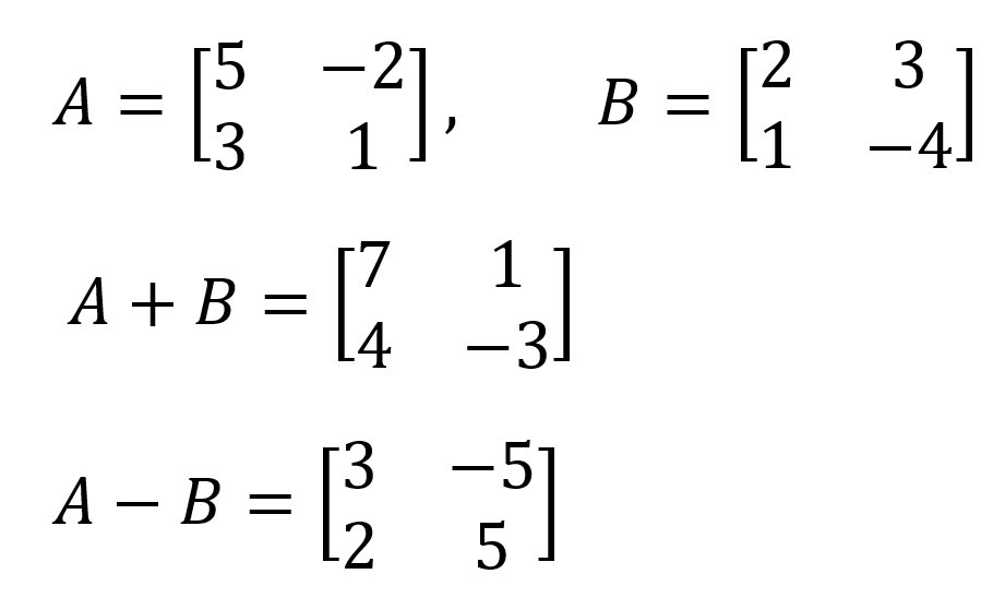
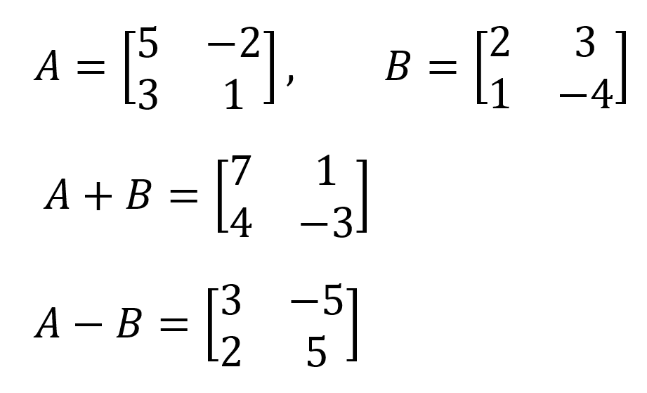
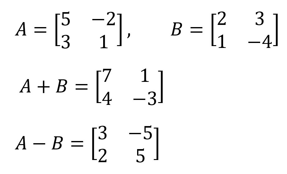
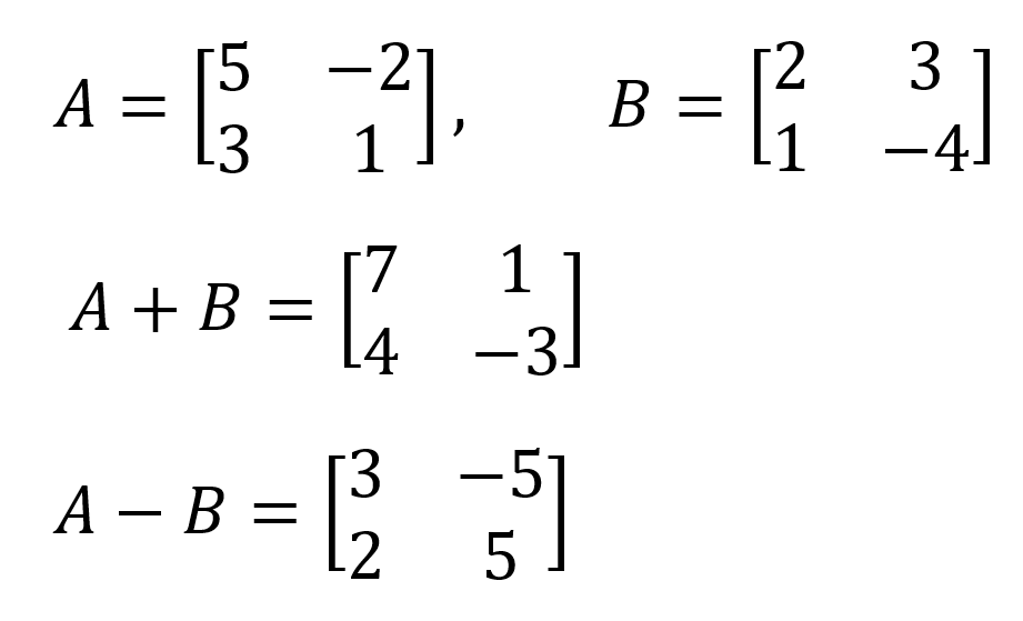
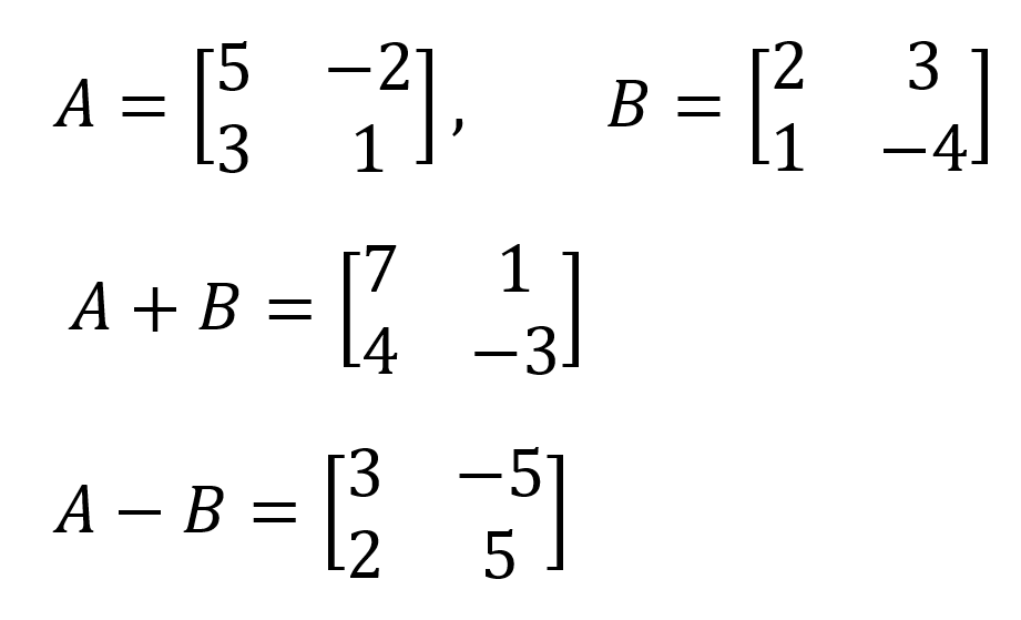
■ 행렬의 덧셈과 뺄셈
두 행렬 A, B에서 같은 자리에 있는 원소끼리 더하거나 뺍니다.
덧셈 표현: A+B
뺄셈 표현: A-B

행렬의 덧셈은 두 행렬의 크기가 같아야만 연산할 수 있습니다. 즉, 행렬 A의 크기가 n × m이면, 행렬 B의 크기도 n × m 이어야 합니다.
□ 예제

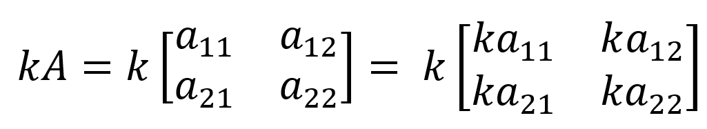
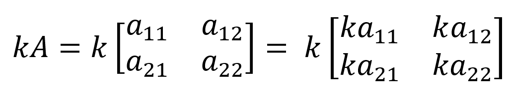
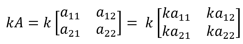
■ 행렬의 스칼라 곱(Scalar Multiplication)
행렬 A에 실수 k를 곱하는 연산

행렬에 실수 값을 곱하려면, 행렬의 각 원소마다 그 실수 값을 곱하면 됩니다.

□ 예제

■ 행렬의 곱셈
m × n 행렬 A와 r × s 행렬 B가 있고 n = r일 때, 즉 행렬 A의 열 크기와 행렬 B의 행 크기가 같을 때 곱셈을 할 수 있습니다. 연산을 다음과 같이 수행합니다.

□ 예제

위와 같은 행렬 A, B, C가 있다고 했을 때 연산이 가능한 조합은 무엇일까요?
열 크기과 행 크기가 같은 것끼리 곱해야 하니까 AC, CB가 되겠네요.
AC를 구하는 과정만 보겠습니다.

예제 풀이를 통해 알 수 있듯이 행렬의 곱셈에서는 교환법칙이 성립하지 않습니다. 연산의 순서를 바꾸면 행과 열 크기가 맞지 않아 곱셈의 결과를 구할 수 없거나, 전혀 다른 결과가 나오기 때문입니다.
-----------------------------------
-----------------------------------
반응형
'컴퓨터 공학 > Software Math' 카테고리의 다른 글
| [이산수학]행렬식이란?2차, 3차 구하는 법(소행렬, 소행렬식, 여인수, 여인수행렬 개념까지) (710) | 2020.07.30 |
|---|---|
| [이산수학]행렬의 종류(영행렬, n차 정사각행렬, 대각행렬, 단위행렬, 전치행렬, 대칭행렬, 부울행렬) (1) | 2020.07.30 |
| [이산수학]행렬(Matrix)의 개념 (367) | 2020.07.30 |
| [이산수학]집합의 대수법칙이란? 활용예제로 이해하기 (442) | 2020.07.29 |
| [이산수학]집합의 종류는?(공집합, 부분집합, 진부분집합) (396) | 2020.07.29 |
댓글