반응형
[이산수학]역행렬이란?_행렬식과 여인수, 전치행렬을 이용해서 구하기
실수 a의 곱셈에 대한 역원으로 1/a (a≠0)이 있듯이 행렬에도 역행렬이 있습니다. 즉 대수 연산에서 어떤 값 a의 곱셈에 대한 역원이 a와 연산하여 곱셈에 대한 항등원 I이 나오는 것처럼 행렬 A의 역행렬은 행렬 A와 곱셈 연산하여 단위행렬 I가 나옵니다.
■ 역행렬
정사각행렬 A에 대해 AB = BA = I 를 만족하는 행렬 B

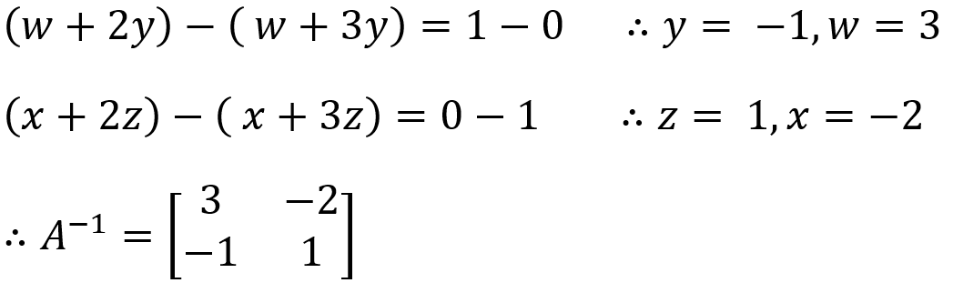
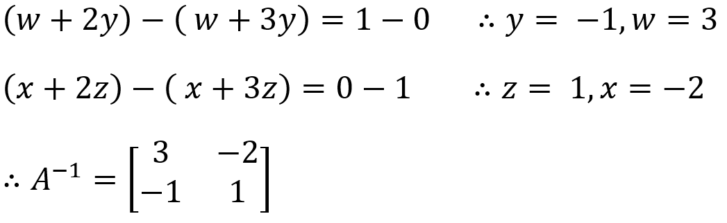
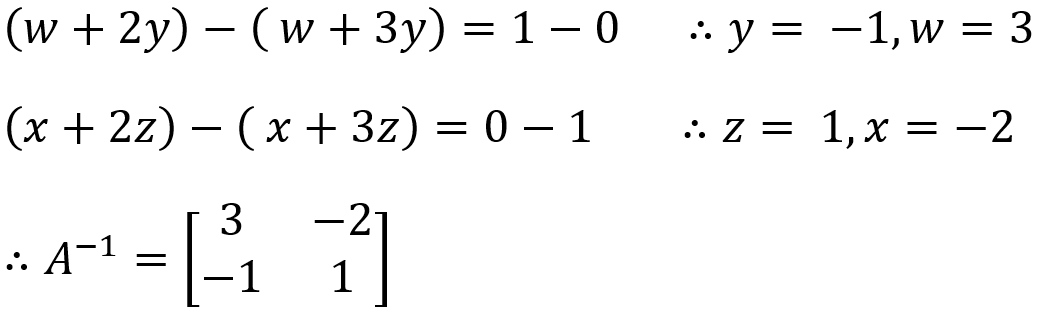
예제

풀이


위 방법은 차수가 높아질수록 변수가 많아지는 단점이 있습니다. 그래서 이런 단점을 극복하기 위해 행렬식과 여인수, 전치행렬을 이용해 역행렬을 구하기도 합니다.
■ 행렬식을 이용한 역행렬

■ 수반행렬
여인수행렬에 대한 전치행렬
※전치행렬: m × n 행렬의 열과 행을 바꾼 n × m 행렬
역행렬을 구하는 예제를 보겠습니다.


-----------------------------------
-----------------------------------
반응형
'컴퓨터 공학 > Software Math' 카테고리의 다른 글
| [이산수학]관계란? 순서쌍, 순서쌍 집합이란? (1) | 2020.08.02 |
|---|---|
| [이산수학]역행렬을 구할 수 있는지 구분하기(가역행렬,특이행렬) (0) | 2020.07.30 |
| [이산수학]부울행렬의 연산자와 연산의 특징 (6) | 2020.07.30 |
| [이산수학]동치관계와 동치류란?_예제포함 (0) | 2020.07.30 |
| [이산수학]관계의 폐포(Closure)란? 반사폐포, 대칭폐포를 관계행렬, 방향그래프로 나타내기 (0) | 2020.07.30 |
댓글