반응형
[이산수학]역행렬을 구할 수 있는지 구분하기(가역행렬,특이행렬)
■ 가역행렬(Invertible Matrix, Nonsingular Matrix)
역행렬이 존재하는 행렬
■ 특이행렬(Singular Matrix)
역행렬이 존재하지 않는 행렬
■ 역행렬을 구할 수 있는지 구분하기
행렬식이 0인 경우는 정사각행렬이라 하더라도 역행렬을 구할 수 없습니다. 행렬식이 0이면 수반행렬에 곱하는 1/det(A)가 부모가 0이 되기 때문입니다.
※수반행렬: 여인수행렬에 대한 전치행렬
※전치행렬: m × n 행렬의 열과 행을 바꾼 n × m 행렬
예제를 통해 이해해보겠습니다.
수학으로 이해하는 디지털 논리 이산수학-한빛미디어 181p
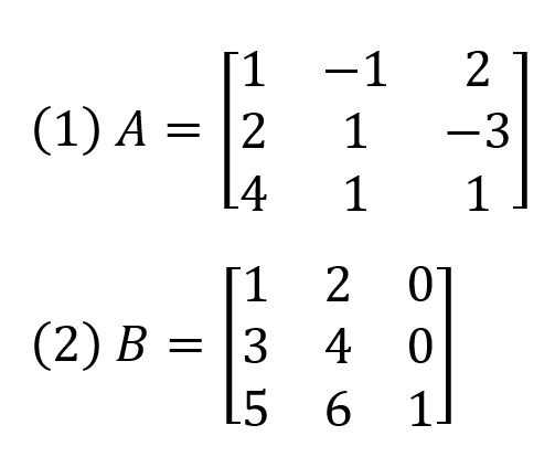
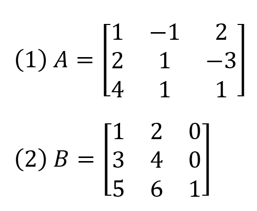
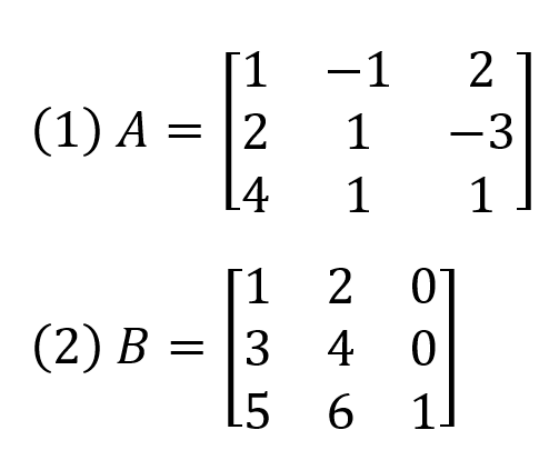
다음 행렬이 역행렬을 구할 수 있는지 없는지 구분하고, 역행렬을 구할 수 있는 행렬이라면 역행렬을 구하시오.

풀이는 [더보기]를 클릭하세요.
더보기

즉, 가역행렬입니다.

풀이


-----------------------------------
-----------------------------------
반응형
'컴퓨터 공학 > Software Math' 카테고리의 다른 글
| [이산수학]관계의 정의역, 공번역, 치역이란? 구하는 법은? (1) | 2020.08.02 |
|---|---|
| [이산수학]관계란? 순서쌍, 순서쌍 집합이란? (1) | 2020.08.02 |
| [이산수학]역행렬이란?_행렬식과 여인수, 전치행렬을 이용해서 구하기 (0) | 2020.07.30 |
| [이산수학]부울행렬의 연산자와 연산의 특징 (6) | 2020.07.30 |
| [이산수학]동치관계와 동치류란?_예제포함 (0) | 2020.07.30 |
댓글