반응형
[이산수학]집합의 연산2 (대칭차집합, 여집합, 곱집합, 멱집합)
■ 대칭차집합 (Symmetric Difference): A ⊕ B

집합 A, B에 대하여 A - B에 속하거나 B - A에 속하는 원소로 구성되는 집합
A ⊕ B
= {x|(x∈A∧x∉B)∨(x∉A∧x∈B)}
= {x|(x∈A-B)∨(x∈B-A)}
■ 여집합 또는 보집합(Complement)

워드
■ 곱집합(Cartesian Product): A X B

집합 A, B에 대하여 a ∈ A, b ∈ B일 때, 순서쌍 (a, b)의 집합
A × B = {(a, b)|a∈A ∧ b∈B}
|A × B|
곱집합은 교환법칙이 성립하지 않습니다. 즉, A × B와 B × A의 결과는 서로 다릅니다.
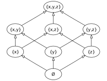
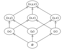
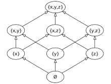
■ 멱집합(Power Set): P(A)

n개의 원소를 갖는 집합 A에 대하여 집합 A의 모든 부분집합을 원소로 갖는 집합
워드
-----------------------------------
-----------------------------------
반응형
'컴퓨터 공학 > Software Math' 카테고리의 다른 글
| [이산수학] 함수란? 함수와 관계의 차이 (0) | 2020.08.06 |
|---|---|
| [이산수학]집합의 연산1 (합집합, 교집합, 차집합)_벤 다이어그램/예제 (0) | 2020.08.02 |
| [이산수학]관계의 정의역, 공번역, 치역이란? 구하는 법은? (1) | 2020.08.02 |
| [이산수학]관계란? 순서쌍, 순서쌍 집합이란? (1) | 2020.08.02 |
| [이산수학]역행렬을 구할 수 있는지 구분하기(가역행렬,특이행렬) (0) | 2020.07.30 |
댓글