반응형
[이산수학]두 함수의 합과 곱, 그 정의역 구하기_예제포함
두 함수 모두 공변역이 실수일 때 함수 간의 연산도 가능합니다.
■ 함수의 합(Sum)과 곱(Product)
- 두 함수 f: X → R과 g: Y → R이 있을 때,
(f+g)(x) = f(x) + g(x)
(fg)(x) = f(x) g(x)
- 함수의 합과 곱에 대한 정의역
dom(f+g) = dom(fg) = dom(f) ∩ dom(g)
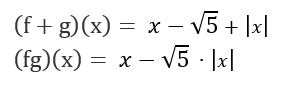
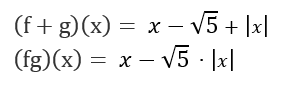
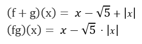
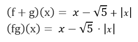
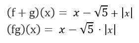
예제
다음 두 함수의 합과 곱을 구하고, 그 정의역을 구하라.

풀이
더보기


예제풀이


수학으로 이해하는 디지털 논리 이산수학 262p 참고
-----------------------------------
-----------------------------------
반응형
'컴퓨터 공학 > Software Math' 카테고리의 다른 글
| [이산수학]합성함수란? _개념 익히고 정의역, 공변역 구하기 (0) | 2020.08.08 |
|---|---|
| [이산수학]함수의 성질(단사함수,전사함수,전단사함수) (0) | 2020.08.06 |
| [이산수학] 함수의 상, 정의역, 공변역, 치역 (0) | 2020.08.06 |
| [이산수학] 함수란? 함수와 관계의 차이 (0) | 2020.08.06 |
| [이산수학]집합의 연산1 (합집합, 교집합, 차집합)_벤 다이어그램/예제 (0) | 2020.08.02 |
댓글