■ 항등함수(Identity Function)

집합 A에 대한 함수 f: A → A가 f(a) = a로 정의되는 관계
- 정의역과 공변역이 같고 입력한 정의역 원소의 값과 출력된 치역의 원소의 값이 같은 함수를 항등함수라고 합니다.
- 그래서 항등함수는 정의역, 공변역, 치역이 모두 같습니다.
- 정의역 원소가 서로 다를 때 그에 대응하는 결과도 서로 다르므로 단사함수입니다.
- 공변역의 모든 원소 y가 f(x) = y를 만족하는 정의역 원소 x를 갖으므로, 전사함수이기도 합니다.
- 단사함수이기도 하고, 전사함수이기도 하므로 항등함수는 전단사함수입니다.
항등함수와 다른 함수와의 합성은 다음과 같이 정리할 수 있습니다.

■ 역함수(Inverse Function)
전단사함수 f: A → B에 대해 B → A로 대응되는 관계

함수 f의 역행렬을 구하려면 함수 f가 반드시 전단사함수여야 합니다.
■ 상수함수(Constant Function)
함수 f: A → B에서 집합 A의 모든 원소가 집합 B의 원소 하나에만 대응하는 관계
∀a ∈ A, ∃c ∈ B에 대해 f(a) = c
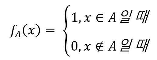
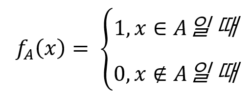
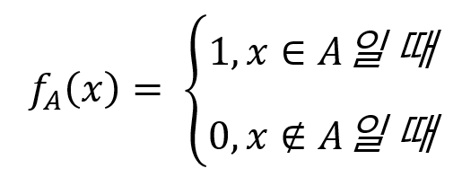
■ 특성함수(Characteristic Function)
전체집합 U에 속한 어떤 집합 A에 대해 다음과 같은 성질을 갖는 관계

- 관계행렬과 같이 어떤 집합에 원소가 있는지 없는지를 판별하는 함수
- 입력에 대응하는 출력이 있다는 의미의 1과 없다는 의미의 0만 존재
■ 바닥함수(Floor Fucnction) / 최대정수함수(Greatest Integer Function)
x ∈ R에 대해 x와 같거나 x보다 작은 정수들 중 가장 큰 정수를 대응하는 함수
⌊ x ⌋ = n ⇔ n ≤ x < n + 1
■ 천정함수(Ceiling Fucnction) / 최소정수함수(Laest Integer Function)
x ∈ R에 대해 x와 같거나 x보다 작은 정수들 중 가장 큰 정수를 대응하는 함수
⌈ x ⌉ = n ⇔ n - 1 < x ≤ n
-----------------------------------
-----------------------------------
'컴퓨터 공학 > Software Math' 카테고리의 다른 글
| [이산수학]다중그래프, 방향그래프, 가중치그래프란?(예제포함) (0) | 2020.08.09 |
|---|---|
| [이산수학]그래프 개념과 용어 정리(루프, 경로, 회로, 인접)/예제포함 (0) | 2020.08.09 |
| [이산수학]합성함수의 연산과 성질 (0) | 2020.08.08 |
| [이산수학]합성함수란? _개념 익히고 정의역, 공변역 구하기 (0) | 2020.08.08 |
| [이산수학]함수의 성질(단사함수,전사함수,전단사함수) (0) | 2020.08.06 |
댓글