반응형
이산수학_수의 연산_합의 표시 ∑, 곱의 표시 ∏, 나누기연산ㅣ, 나머지연산 mod 의 뜻은? 읽는법
■ 합의 표시: 시그마

일정 규칙으로 나열된 값의 합(i: 합의 색인)

연산풀이를 보면 이해하기 쉽습니다.

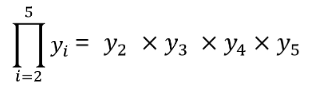
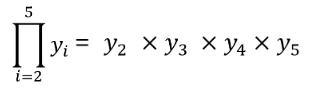
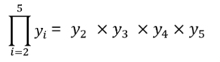
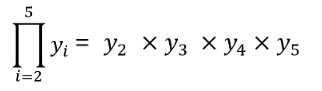
■ 곱의 표시: 프로덕트

일정 규칙으로 나열된 값의 곱(i: 곱의 색인)

연산풀이를 보겠습니다.

■ 나누기 연산
정수 n을 d로 나누어 몫 q를 구하는 연산 또는 n = dq를 만족하는 정수 q를 구하는 연산
d|n: d로 n을 나눈다.(d ≠ 0)
q: 몫 (quotient)
d: n의 약수(divisor) 또는 인수(factor)
n: d의 배수
■ 나머지 연산
정수 n을 d로 나누어 나오는 몫 q와 나머지 r이 있을 때, r을 구하는 연산
n = dp + r을 만족하는 정수 r을 구하는 연산
n mod d = r
q: 몫 (quotient)
d: n의 약수(divisor) 또는 인수(factor)
n: d의 배수
r: 나머지(remainder), 0 ≤ r < d
-----------------------------------
-----------------------------------
반응형
'컴퓨터 공학 > Software Math' 카테고리의 다른 글
| [이산수학]집합의 분할이란?_분할의 성질과 집합류의 정의 (392) | 2020.07.29 |
|---|---|
| [이산수학]수의 종류와 각각의 닫힘 성질은?(자연수, 정수, 유리수, 무리수, 실수,복소수) (393) | 2020.07.29 |
| [이산수학]간접증명법이란?(대우증명, 모순증명, 반례증명, 존재증명) (404) | 2020.07.29 |
| [이산수학]직접증명법이란?다양한 예제로 익히기 (384) | 2020.07.29 |
| [이산수학]공리, 정의, 정리, 증명이란?_다양한 예로 이해하기 (388) | 2020.07.29 |
댓글